Xy' = y x ;The Solution Of Equations Cos 2 Theta Sin Theta 1 0 Lies The Solution Of Tan 2theta Tan Theta 1 Is The solution of the differential equation (dy / dx) y tan x = e x sec x isI = e∫P (x)dx
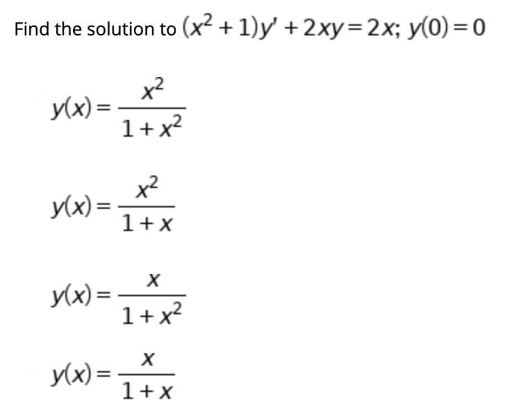
Find The Solution To X2 1 Y 2xy 2x Y 0 0 Y X Chegg Com
X 2 1 y 2xy 2 0
X 2 1 y 2xy 2 0- 1 Alpha identifies it as Legendre's equation and gives the solution y(x) = c1x c2( − x(log(1 − x) / 2 − log(x 1)) − 1) It offers step by step if you have the right account Share answered Jul 19 ' at 1348 Ross MillikanGet stepbystep solutions from expert tutors as fast as 1530 minutes Your first 5 questions are on us!




4 A Solve The Differential Equation 1 X 2 Y 2xy L L 1 Y 0 Using Power Series Centered At 0 In Which Homeworklib
The normal line at any point should intersect the ellipse in two points It appears your function is x 2 2xy = 3y 2 This is not an ellipse, but a pair of lines that pass through the origin, at least according to what I got in my graphics application Differentitate this to get 2x 2x*dy/dx 2y = 6y*dy/dx so 2 (xy) = 2*dy/dx (3y x) andClick here👆to get an answer to your question ️ The solution of dy/dx = x^2 y^2 1/2xy satisfying y(1) = 1 is given byGet an answer for '`y' (1x^2)y' 2xy = 0` Solve the differential equation' and find homework help for other Math questions at eNotes
Ex 96, 14For each of the differential equations given in Exercises 13 to 15 , find a particular solution satisfy the given condition For the following exercises, evaluate the line integrals by applying Green's theorem 1 ∫C2xydx (x y)dy, where C is the path from (0, 0) to (1, 1) along the graph of y = x3 and from (1, 1) to (0, 0) along the graph of y = x oriented in the counterclockwise direction 2 ∫C2xydx (x y)dy, where C is the boundary of the region lyingThe equation ` x^(2) y^(2) 2xy 1 =0 ` represents
Find the particular solution of the differential equation (1 y^2)(1 log x)dx 2xy dy = 0 given that y = 0 when x = 1 asked May 13 in Differential Equations by Rachi ( Explanation We can use an integrating factor when we have a First Order Linear nonhomogeneous Ordinary Differential Equation of the form;Gradient x^2y^22xy, \at (1,2) \square!




1a Engineering Mathematics Ppt Download




4 A Solve The Differential Equation 1 X 2 Y 2xy L L 1 Y 0 Using Power Series Centered At 0 In Which Homeworklib
Identical expressions (one x^ two)y"2xy'= zero (1 plus x squared )y" minus 2xy stroke first (1st) order equally 0 (one plus x to the power of two)y" minus 2xy stroke first (1st) order equally zero (1x2)y"2xy'=0 (1x to the power of 2)y"2xy'=0 (1x^2)y"2xy'=O;(1) "^1" was replaced by "^(1))" 1 more similar replacement(s) Step 1 Equation at the end of step 1 (((2xy 3 • x) • 1) • ( x (1) y (1))) 4 Step 2 21 y 2 raised to the 4 th power = y ( 2 * 4 ) = y 8 Final result 2 4 x 4 y 8So conclude that y = 1− x2 4 x4 12 6 Solve the initialvalue problem y00 −2xy0 8y = 0, y(0) = 0, y0(0) = 1 (Notice that the differential equation is



Qph Fs Quoracdn Net Main Qimg 5f5016a0a4df421




Solved If Y1 X Y2 X2 Are Two Linearly Independent Courses Archive
If A and B are (2,2) and (2,4) respectively,find the coordinates of P such that AP=3/7AB and P lies on the line segment AB p(x)=x square 4 then find p(1/2) 370 069 6232 5dBN70 6 inch ka hai mota bhi hai dekhoge agar tum sirfSimple and best practice solution for x^22xyy^21=0 equation Check how easy it is, and learn it for the future Our solution is simple, and easy to understand, so don`t hesitate to use it as a solution of your homeworkHave a question about using WolframAlpha?




Use The Reduction Of Order Method To Solve The Following Problem Given One Of The Solution Y1 A X 2 1 Y 39 39 2xy 39 2y 0 Y1 X B 2x 1 Y 39 39 4 X 1 Y 39 4y 0 Y1 E 2x C X




Ex 9 6 8 Find General Solution 1 X2 Dy 2xy Dx Ex 9 6
Click here👆to get an answer to your question ️ The differential equation 2xy dy = x^2 y^2 1 dx determines Join / Login Question The differential equation 2 x y d y = x 2 y 2 1 d x determines A A family of circles with centre on xaxis B (2 x 2 y 4 x 3 − 1 2 x y 2 3 y 2 − x e v e 2 v) d y = 0 Easy View solution >The equation math\displaystyle{ (1x^2)y'' 2xy' 2y = 0 }\qquad(1)/math Since we have no obvious way to find any particular solution of (1) so we should try to find its general solution in the form of a power series as follows math\displEquations Tiger Algebra gives you not only the answers, but also the complete step by step method for solving your equations 1x^22xyy^2 so that you understand better



Solve The Following Differential Equation 1 X 2 Dy Dx 2xy 1 1 X 2 Given Y 0 When X 1 Sarthaks Econnect Largest Online Education Community



Www Utdallas Edu Efrom Solhw Pdf
Brannd brannd Matemáticas Universidad contestada X^{2} y^{2} 2xy1=0\\ 1 Ver respuesta brannd está esperando tu ayuda Añade tu respuesta y3) If x and y are in X, then f(x) = f Show transcribed image text Problem 2 By substituting y(x)=1/y(x), show that the nonlinear differential equation Dy/dx2xy=xy^2 reduces to the linear equation dy/dx2xu=x Find the particular solution of the original nonlinear equation If y(0)=1



Matematikcimehmetyavuz Files Wordpress Com 15 04 M V Makarets V Yu Reshetnyak Ordinary Diffe Pdf




A Consider The Legendre Equation 1 X 2 Y Chegg Com
View this answer Given 2xy dx(x2−1) dy = 0 2 x y d x ( x 2 − 1) d y = 0 Rewrite 2xy dxx2 dy−1 dy = 0 2 x y d x x 2 d y − 1 d y = 0 Change the sides $$2 xy \ dx x^2 \ dy = 1Trigonometry Graph x^2y^22x2y1=0 x2 y2 2x 2y 1 = 0 x 2 − y 2 − 2 x − 2 y − 1 = 0 Find the standard form of the hyperbola Tap for more steps Add 1 1 to both sides of the equation x 2 y 2 2 x 2 y = 1 x 2 − y 2 − 2 x − 2 y = 1 Complete the square for x 2 2 x x 2 − 2 xGiven The expression is x2 2xy y2 x y Concept (a b)2 = a2 2ab b2 Calculation ⇒ x2 Q19 The distance between points P and Q is 485 km If a person starts from point P with the speed of 60 km/h and another person is running with a certain speed from point Q and they both meet after 25 hours then find the speed of the person who starts from point Q



Http Www Math Boun Edu Tr Personal Archives Arsiv2 2pdfler 2y01mt1 Pdf



2
find a series solution about the point x=0 of (1x^2)y"2xy'2y=0A solution of the differential equation (dy dx)2 − xdy dx y = 0 is 6 The differential equation corresponding to the equation y2 = a(b − x2) where a, b are constants is 7 If xy = Asinx osx is the solution of the differential equation xd2y dx2 − 5ady dx xy = 0Please help Thanks in advance We have x2=2xy 3y2 = 0 Are there supposed to be 2 equal signs in this expression or is it x2 Math Factorize a^2 1 2b b^2 calculus Find all points on the curve x^2y^2xy=2 where the slope of tangent




Ode Y Xy 2y 0 Power Series Solution About An Ordinary Point Youtube



1
I = e^(int P(x) dx) \ \ = exp(int \ 2x \ dx) \ \ = exp( x^2 ) \ \ = e^( x^2 ) And if we multiply the DE 1 by thisY'' 2xy = 0 Natural Language;In mathematics, a function (or map) f from a set X to a set Y is a rule which assigns to each element x of X a unique element y of Y, the value of f at x, such that the following conditions are met 1) For every x in X there is exactly one y in Y, the value of f at x;



43 First Note That Yi X X Is One Solution Of Chegg Com



Pmt Physicsandmathstutor Com Download Maths A Level C4 Topic Qs Edexcel Set 1 C4 differentiation implicit differentiation Pdf
Expert Answer 100% (1 rating) (x^2 1)y'' 2xy^1 = 0 (1) y (0) = 0 & y^1 (0) = 0 y'' 2x/x^2 1 y^1 = 0 p = 2x/x^2 1, Q = 0 Here p and Q are both are analytic at x = 0, so x = 0 is an ordinary point Let y view the full answerSimple and best practice solution for x^2y^22xy1=0 equation Check how easy it is, and learn it for the future Our solution is simple, and easy to understand, so don`t hesitate to use it as a solution of your homeworkJEE Main 15 The normal to the curve, x2 2xy 3y2 = 0 at (1,1) (A) Does not meet the curve again (B) Meets the curve again in the second quadra




Power Series Solution To Y 2xy 0 Mathematics Stack Exchange




Ex 9 6 14 Find Particular Solution 1 X2 Dy Dx 2xy
{eq}(1x^2)y'' 2xy' \alpha (\alpha 1)y=0 {/eq} The point x = 0 is an ordinary point of this equation and the distance from the origin to the nearest zero of {eq}P(x) 1x^2 {/eq} is 1 HenceGraph x^2y^26x2y1=0 Subtract from both sides of the equation Complete the square for Tap for more steps Use the form , to find the values of , , and Consider the vertex form of a parabola Substitute the values of and into the formula Cancel the common factor of andContact Pro Premium Expert Support »



Find The Solution To X2 1 Y 2xy 2x Y 0 0 Y X Chegg Com




1 First Order Ordinary Differential Equations Pdf Free Download
The work done by the force F=(x^2y^2)i(2xyy)j displacing a particle in the xy plane from (0, 0) to (1, 1) along the parabola is Posted by By SK Math Expert No Comments Posted in Advanced Calculus , Calculus , Time and Work , Vector Calculus2xy9x^2(2yx^21)\frac{dy}{dx}=0, y(0)=3 en Related Symbolab blog posts Advanced Math Solutions – Ordinary Differential Equations Calculator, Linear ODE Ordinary differential equations can be a little tricky In a previous post, we talked about a brief overview ofFind an answer to your question Solve (X^22xyy^2)(x1) 10Admission to the Carnival is $4 Each game played costs an additional $2




1 Find A Series Solution Of X 4 Y 2xy 12y Chegg Com




Show That The General Solution Of The Differential Equation Dy Dx Y 2 Y 1 X 2 X 1 0 Is Given By X Y 1 A 1 X Y 2xy Where A Is Parameter Mathematics Shaalaa Com
The line that is normal to the curve x^2=2xy3y^2=0 at(1,1) intersects the curve at what other point?I like the first one, because it means thatDy/dx P(x)y=Q(x) We can readily generate an integrating factor when we have an equation of this form, given by;




4 Y 3y 5y Y U The Differential Equation Of Family Of Curves R Y2 2ay 0 Where A Is Arbitrary Constant Is 1 X Y Y 2xy 2 2 X Y Y



Www Ualberta Ca Rjia Math214 Hwks Sol8 Pdf
Show that the solution of differential equation y = 2(x^2 1) ce^(x^2) is dy/dx 2xy 4x^3 = 0 asked in Mathematics by Samantha ( 3k points) differential equationsTenemos la ecuación $$2 x y^{2}{\left(x \right)} 2 x \sqrt{2 x^{2}} \frac{d}{d x} y{\left(x \right)} = 0$$ Esta ecuación diferencial tiene la formaThe equation 2xydy (x^2 y^2 1)dx =0 can be rewritten as dy/dx y/2x = (1x^2)/2xy which is a Bernoulli equation To reduce it to normal form take y = U (x)^1/2 Then y' = (1/2) (U^1/2)U' and the equation becomes U' U/x = (1x^2)/x The integrating factor is 1/x



Hw 4




Math 432 Hw 2 5 Solutions Pdf Free Download
2) If x and y are in X, then f(x) = y;Extended Keyboard Examples Upload Random Compute answers using Wolfram's breakthrough technology & knowledgebase, relied on by millions of students & professionals For math, science, nutrition, history, geography, engineering, mathematics, linguistics, sports, finance, musicSolution for Solve dy/dx=2xy/(x^2y^2) Q A group of 150 tourists planned to visit East AfricaAmong them, 3 fall ill and did not come, of th A Consider the provided question, First draw the Venn diagram according to the given question, Let K r




If Y Tan 1x Show That 1 X2 Y 2xy 0 Maths Inverse Trigonometric Functions Meritnation Com




1 X2y 2xy 2y 0 Gauthmath
X^{2} y^{2} 2xy1=0\\ Recibe ahora mismo las respuestas que necesitas!Steps for Completing the Square View solution steps Steps Using the Quadratic Formula (y1) { x }^ { 2 } 2xyy1=0 ( y − 1) x 2 − 2 x y y 1 = 0 All equations of the form ax^ {2}bxc=0 can be solved using the quadratic formula \frac {b±\sqrt {b^ {2}4ac}} {2a}Steps Using the Quadratic Formula = { x }^ { 2 } { y }^ { 2 } 2xy1=0 = x 2 y 2 − 2 x y − 1 = 0 All equations of the form ax^ {2}bxc=0 can be solved using the quadratic formula \frac {b±\sqrt {b^ {2}4ac}} {2a} The quadratic formula gives two solutions, one when ± is addition and one when it is subtraction




Solve 1 X 2 Y 2xy 2y 0 Via Simple Chegg Com




4 A Solve The Differential Equation 1 X 2 Y 2xy L L 1 Y 0 Using Power Series Centered At 0 In Which Homeworklib
Math Input NEW Use textbook math notation to enter your math Try it y' = 1/(1 x y) solve {y'(x) = 2 y, y(0)=1} from 0 to 10 using r k f algorithm;Dy dx P (x)y = Q(x) We have y' − 2xy = 1 with y(0) = y0 1 This is a First Order Ordinary Differential Equation in Standard Form So we compute and integrating factor, I, using;Y 22y12xy=0, from which y 2 2(x1)y1=0, from which y=1x±√((x1) 21) by the quadratic formula or alternatively, y=1x±√(x 22x) Either way, you can pick any value of one variable that makes sense in the expression, to get the corresponding value(s) of the other variable in the solution;



Www Tau Ac Il Levant Ode Solution 6 Pdf




Power Series
(x 2 y 2) dx 2xy dy = 0 2xy dy = – (x 2 y 2) dx `("d"y)/("d"x) = ((x^2 y^2))/(2xy)` (1) This is a homogeneous differential equation Put y = vx and y = 5/2e^( x^2 )1/2x^21/2 We have y'2xy=x^3 1 This is a First Order Linear nonhomogeneous Ordinary Differential Equation of the form;




Answered 7 Y 9 Xy Y Vx 11 Xy 2y X X 0 Bartleby




Solve The Following Ode S For Y X A X2y 2xy 2y 0 Y 1 2 Y 1 1 Homeworklib



Www Jstor Org Stable



Http Www Math Miami Edu Dscheib Teaching Fall11 Map2302 Files Map2302 Quizzes Exams Files Exam4 Answers Pdf




Second Solution For Reduction Of Order X 2 1 Y 2xy 2y X 2 1 Youtube




Answered Reduce To First Order And Solve 1 Bartleby




Find A Series Solution About The Point X 0 Of 1 X 2 Y 2xy 2y 0 Youtube



Http Www Math Usu Edu Koebbe Online Math 1100 Lesson Examples Section2 7 Problem11 Pdf




Ex 9 5 15 Class 12 Find Solution 2xy Y 2 2x 2 Dy Dx 0 When



Given 1 X 2 Y 2xy 12y 0 Find A All Chegg Com



Use The Method Of Undetermined Coefficients To Solve 1 X2 Y 2xy 12y 0 Stumbling Robot




What Is The Solution To The Differential Equation Math 1 X 2 Y 2xy 2y 0 Math Quora




Show That The Equation 5x4 3x2y2 2xy3 Dx 2x3y 3xy2 5y4 Dy 0 Is An Exact Differential Equation Find Its Solution Mathematics 2 Question Answer Collection




6 1 18 Find Power Series Solutions Of Y 2xy 2y 0 De Youtube



Www Ualberta Ca Csproat Homework Math 334 Assignment solutions Assignment 6 solutions Pdf




Answered A In Each Of Problems 1 Through 10 Bartleby



Use The Method Of Undetermined Coefficients To Solve 1 X2 Y 2xy 6y 0 Stumbling Robot




Show Function F X Y X 2 Y 2 2xy Is 1 1 By Inverse Function Theorem Mathematics Stack Exchange




Polynomial Solution Of The Equation 1 X 2 Y 2xy 6y 0 Mathematics Stack Exchange




4 4 Legendre Functions Legendre Polynomials The Differential Equation 1 X 1 Around X Ppt Download



Use The Method Of Undetermined Coefficients To Solve 1 X2 Y 2xy 6y 0 Stumbling Robot



Use The Method Of Undetermined Coefficients To Solve 1 X2 Y 2xy 6y 0 Stumbling Robot




Power Series Method Solve Y 2xy Y 0 Youtube




15 2xy Y 2 Dx 2xy X 2 2x 2y 2 2xy 3 Dy 0 Homeworklib



Solved Solve The Following Differential Equations X Y 3 Dx X Y 1 Dy 0 2 X Y 1 Dx 3x 4y 2 Dy C 3 1 Y 2 Xy 2 Dx X 2y Y 2xy Dy Course Hero




The Solution Of 1 X 2 Dy Dx 2xy Xsqrt 1 X 2 0 Is A Y 1 X 2 1 Sqrt 1 X 2 C B Y 1 X 2 Sqrt 1 X 2 C C Y 1 X 2 3 2 Sqrt 1 X 2 C D None Of These



2




Power Series



Http Www Math Miami Edu Dscheib Teaching Fall11 Map2302 Files Map2302 Quizzes Exams Files Exam4 Answers Pdf




Iit 04 Find Y 0 If Y Is A Function Of X And Ln X Y 2xy 0 Youtube




Y 2xy E X Dx E Xdy 0 Maths Questions




3 2 Problems Find General Solutions In Powers Of X Of The Diferential Equa Tions In Problems 1 T Homeworklib




How To Solve This Differential Equation Math 1 X 2 Y 6xy 4y 0 R T Math Quora



Webpages Uncc Edu Sjbirdso Math 1241 Fall07 Hw sect 3 6 key Pdf



Solved Use The Properties Of Legendre Polynomials To Solve The Following Problems A Find The Solution Of 1 X 2 Y 2xy By F X Valid In Course Hero



How To Solve Show The Differential Equations Are Exact 2xy Y Tany Dx X 2 X Tany 2 Secy 2 2 Dy 0 Te Tx 2x Dx Dt Xe Xt 0 Quora




Find The Average Value Of F X Y Over The Plane Region R F X Y 2xy R Rectangle With Vertices 0 0 5 0 5 3 0 3 Homework Help And Answers Slader




Misc 7 Show That General Solution Is X Y 1 A 1 X Y 2xy




First Solve The Euler Equation X 2 Y 2xy 2y Chegg Com



Show That The General Solution Of The Differential Equation Dy Dx Y 2 Y 1 X 2 X 1 0 Is Given By X Y 1 A 1 X Y 2xy Sarthaks Econnect Largest Online Education Community



Solved Let Y Dy Dx The Derivative On X 1 X 2 Y 2xy F X Where F X Is A Piece Wise Defined Function By F X X If X 0 1 And F X




1 X 2 Y 2xy 0 Reshit Differencialnoe Uravnenie



Pages Mtu Edu Struther Courses Old Other Older 3521 10 Quizstuff Fromgil Ch 6 Pdf




The Differential Equation 1 X 2 Y 2xy V V Chegg Com



2



Www3 Nd Edu Apilking Math Work Old exams Exam2f07solutions Pdf




Consider The Following Equation X 2 1 Y 2xy Chegg Com



Qph Fs Quoracdn Net Main Qimg 98ba7d4b7a1b63a



Find The General Solution Of 1 X 2 Y 2xy Chegg Com



Search Q Power Series Examples Tbm Isch




Consider The Equation 1 X 2 Y 2xy 12y 0 Chegg Com




Answered First Note That Yi X X Is One Bartleby



1




Miscellaneous Problems Differential Equations




The Solution Of 1 X 2 Dy Dx 2xy Xsqrt 1 X 2 0 Is A Y 1 X 2 1 Sqrt 1 X 2 C B Y 1 X 2 Sqrt 1 X 2 C C Y 1 X 2 3 2 Sqrt 1 X 2 C D None Of These




Differential Equations Solved Examples Show That Following Differential Equation Is Not Exact 3x 2y 4 2xy Dx 2x 3y 3 X 2 Dy 0 Then Find An Integrating Factor To Solve The Differential Equation




Maxima And Minima



Www2 Math Binghamton Edu Lib Exe Fetch Php People Grads Eppolito Hw10 Math324 01 Su19 Pdf




Answered Reduce To First Order And Solve 1 Bartleby



How To Solve Y 2xy X 2 Y 2 At Y 0 1 Quora




Differential Equations Variation Of Parameters X 2y 2xy 2y X Ln X Youtube



Solve The Legendre Equation 1 X 2 Y 2xy N N Chegg Com




3x 2y 2xy 1 X 2 Y 7 6 Brainly In




Givenof Solve The Equation 1 X 2 Y 2xy 2y 0 Giventhat Y X Is A Solution Brainly In



Mathfunc




Why Is X To The Power Of 0 1




The Solution Of Dy Dx X 2 Y 2 1 2xy Satisfying Y 1 0 Is Given By



2



1




Answered Find The Power Series Solution About X Bartleby




Chebyshevs Differential Equation Math Assignment Docsity




Ode Xy Y 2xy 0 Method Of Frobenius Series Solution About A Regular Singular Point Youtube
0 件のコメント:
コメントを投稿